Το σημείο φυγής στην γεωμετρική προοπτική είναι το σημείο σύγκλισης όλων των γραμμών που υποδηλώνουν την οπτική κατεύθυνση του θεατή.
Ο αριθμός Φ ή Χρυσή Τομή ή θεϊκή αναλογία, είναι ο κανόνας δόμησης κάθε οργανισμού στη φύση, η αρμονική αναλογία ανάπτυξης κάθε μορφής άρτιας σύνθεσης.
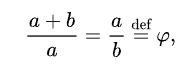
Στα μαθηματικά και την τέχνη, δύο ποσότητες έχουν την χρυσή τομή αν ο λόγος του αθροίσματος τους προς τη μεγαλύτερη ποσότητα είναι ίσος με το λόγο της μεγαλύτερης ποσότητας προς τη μικρότερη. Η εικόνα στα δεξιά αναπαριστά τη γεωμετρική ερμηνεία των παραπάνω.
Εκφρασμένο αλγεβρικά:

όπου το γράμμα φ αντιπροσωπεύει την χρυσή τομή. Η τιμή του είναι:

Τα 23 ιδρυτικά του μέλη από τη Θεσσαλονίκη, υπήρξαν ενεργά μέλη του πολιτικού κόμματος «ΔΗΜΙΟΥΡΓΙΑ ΞΑΝΑ» το οποίο μέχρι και το 2023 είχε πρόεδρο τον Θάνο Τζήμερο.